Artículo Original

Intensidad lumínica de lámparas de fotocurado de gama alta, media y baja, al utilizarse con y sin barrera de protección

Pedro IV González luna1, José Alfredo Facio Umaña2, Raúl medina Martínez3, Jaime Cabral Méndez4

Resumen

La fotopolimerización es un proceso esencial en odontología para asegurar el éxito clínico de restauraciones, adhesiones ortodónticas y procedimientos de cementación. Su eficacia depende de la intensidad lumínica emitida por las lámparas de fotocurado, ya que una polimerización insuficiente puede comprometer la durabilidad y el desempeño del material. A pesar de su importancia, la verificación de la intensidad lumínica suele ser subestimada, lo que puede llevar a fallas clínicas. Además, se ha demostrado que ciertos métodos de control de infecciones pueden reducir hasta un 30% la potencia lumínica. En este estudio experimental se evaluaron tres lámparas LED de fotocurado de gamas alta, media y baja, utilizando un radiómetro digital VABIRA DLLM con capacidad de hasta 3500 mW/cm². Los resultados mostraron que ninguna lámpara presentó valores inferiores a 1200 mW/cm². Se concluye que existe un desconocimiento generalizado entre los odontólogos sobre la necesidad de monitorear periódicamente la intensidad lumínica de sus lámparas para garantizar una polimerización adecuada y evitar fallas clínicas.

Palabras clave: Intensidad Lumínica, Lámparas de fotocurado, Fotopolimerización


Original Article

Abstract

Photopolymerization is an essential process in dentistry to ensure the clinical success of restorations, orthodontic adhesions, and cementation procedures. Its effectiveness depends on the light intensity emitted by curing lamps, as insufficient polymerization can compromise the durability and performance of the material. Despite its importance, the verification of light intensity is often underestimated, which can lead to clinical failures. Additionally, it has been shown that certain infection control methods can reduce light output by up to 30%. In this experimental study, three LED curing lamps of high, medium, and low ranges were evaluated using a VABIRA DLLM digital radiometer with a capacity of up to 3500 mW/cm². The results showed that no lamp had values below 1200 mW/cm². It is concluded that there is a widespread lack of knowledge among dentists about the need to periodically monitor the light intensity of their lamps to ensure proper polymerization and avoid clinical failures.

Key words: Photopolymerization, Curing Lamps, Light Intensity.


  1. Doctor en Ciencias e Ingeniería de Materiales. Facultad de Odontología, Universidad Autónoma de Coahuila.
  2. Doctor en Ciencias Biomédicas. Facultad de Odontología, Universidad Autónoma de Coahuila.
  3. Doctor en Filosofía (Ciencias Odontológicas). Escuela de Medicina Dental, Torreón Coahuila.
  4. Especialista en Ortodoncia. Escuela de Medicina Dental, Torreón Coahuila.

Introducción

En los diversos tratamientos odontológicos en los que se emplea una luz de fotocurado o fotopolimerización, es de vital importancia que la energía lumínica sea confiable y pueda entregar la energía necesaria para poder polimerizar ya sea una resina o los diferentes materiales de adhesión o de cementado.1

La fotopolimerización es un paso de suma importancia durante el tratamiento y aplicación de una restauración, adhesión de un bracket, materiales de cementado etc. ya que el éxito clínico depende de las lámparas de fotocurado y su intensidad lumínica, que nos garantice una óptima polimerización de la restauración.2 La mayoría del personal odontológico desconoce la potencia que utilizan en sus lámparas de foto polimerizado, la cantidad de energía o el tiempo.3

El odontólogo debe ser consciente de que, con una intensidad lumínica alta, existe el riesgo de daño al tejido superficial y daño a la pulpa cuando solo queda una capa delgada de dentina.4 También se debe considerar la longitud de onda y la intensidad de la salida de las unidades de fotopolimerización, la duración de la radiación, las dimensiones y ubicación de la cavidad dental, la dirección y distancia de la punta del dispositivo.5

Po lo general, la intensidad de luz de fotocurado o foto polimerizado no recibe la atención o conciencia adecuada que merece y a menudo se da por hecho que la restauración se encuentra totalmente polimerizada, lo que puede conducir a un polímero incompleto y por lo tanto al fracaso del tratamiento.6

Además, que la polimerización inadecuada de materiales restauradores fotopolimerizables también puede provocar complicaciones como decoloración, rotura marginal, deterioro de la dureza y resistencia deficiente a la flexión y a la compresión.7 También contribuye a una amplia gama de complicaciones clínicas, como irritación pulpar, sensibilidad posoperatoria y fracaso de la restauración.

Por lo tanto, las lámparas de foto polimerizado se han convertido en elemento esencial muy utilizado, por lo tanto, algunos problemas como daños, contaminación, materiales de barrera o protección y fracturas en las puntas de fotocurado, puede disminuir su eficiencia.

Aunque varios artículos han sugerido mantener las lámparas de foto polimerizado en constante mantenimiento, limpias y libres de contaminantes.8

Se ha demostrado que en la mayoría de la práctica odontológica se ven afectadas por la adherencia de los composites y material de unión en su punta, que pueden reducir la salida de luz, además métodos de control de infecciones como fundas de plástico o materiales de barrera reducen la intensidad de la misma.9-11

La mayoría de las veces para contrarrestar estos efectos adversos es necesario aumentar el tiempo de exposición y compensar la reducción de dicha luz.

Las barreras de protección son necesarias para el control de infecciones y obligatorias, sin embargo, se ha demostrado que el esterilizar las puntas disminuye significativamente la irradiación de la luz con el tiempo. 12-13

Los estudios han demostrado que algunos métodos de control de infecciones podrían reducir hasta un 30% la intensidad lumínica de las lámparas.

Por otro lado, el uso constante, la manipulación de la lámpara y su punta de trabajo, se puede producir un daño como arañazos, abolladuras, astilladuras o fracturas en su punta que reducen su intensidad lumínica.

Aunque es lógico remplazar un equipo dental dañado muchas de las veces en la práctica odontológica se ignora el problema y se continúa utilizando la lámpara de foto polimerizado-dañada.14

Se ha demostrado que, al tener esta práctica, la potencia de la lámpara de foto polimerizado puede disminuir ofreciendo tratamientos inadecuados debido a una pobre intensidad lumínica de fotocurado.

La mayoría de las veces el odontólogo desconoce la deficiencia en el foto polimerizado de su equipo que lo conduce al fracaso del tratamiento.15

Por lo tanto, es necesario que el odontólogo conozca y entienda los términos radiométricos como:

  • El flujo radiante, que se utiliza para describir la potencia e intensidad de la salida de la luz y se expresa en unidades de vatios (mW).
  • La potencia radiante entregados por la lámpara a una superficie, se clasifica en unidades de vatios/área (Mw/cm2)

La energía de luz que se utiliza a lo largo del tiempo se expresa en unidades de Joule/área (J/cm2)

Se ha demostrado que se necesita una dosis de energía de 16-24 J/cm2 para foto polimerizar una resina de 2 mm de espesor y al menos de 300-400 Mw/cm2. (7)

MATERIALES Y MÉTODOS

Métodos:

Este estudio se realizó al medir la intensidad lumínica en 3 lámparas de fotocurado LED, gama alta, media y baja, usando un radiómetro con capacidad de medida de la intensidad lumínica de hasta 3500 mw/cm2.

Las 3 lámparas de fotocurado LED se probaron utilizando radiómetro digital (VABIRA DLLM) para medir su intensidad lumínica.

Fue una investigación de diseño experimental. Se registraron 3 lámparas de fotocurado, una de gama alta, media y baja. La intensidad lumínica de las lámparas fue medida con un radiómetro digital (VABIRA DLLM) capaz de medir la intensidad lumínica de lámparas LED en un rango de 0 a 3500 mw/cm2, en un margen de ± 15 %. Este instrumento permitió clasificar la intensidad lumínica en cuatro grupos: intensidad baja (< 400 mw/cm2), intensidad media (400 - 800 mw/cm2), intensidad alta (800 - 1200 mw/cm2) e intensidad muy alta (1200 mw/cm2).

Los grupos de estudio fueron procesados de la siguiente manera:

El protocolo establecido para medir la intensidad lumínica de las lámparas de fotocurado consideró que cada lámpara debía estar cargada previamente. Una vez encendida y después de un minuto, se proyectó la luz sobre el sensor del radiómetro durante 3 segundos con la finalidad de medir la intensidad lumínica por mw/cm2.

La medición de la intensidad se realizó por un periodo de 30 veces sin utilizar barrera de protección y otro periodo de 30 veces utilizando barrera de protección en cada lámpara según su gama, con intervalos de 15 segundos para estandarizar la temperatura de la lámpara y registrar el último valor.

En el caso que el resultado estuviera por debajo de los 400 mw/cm2 indicaría intensidad baja, de 400 a 800 mw/cm2 intensidad media, de 800 a 1200 mw/cm2 intensidad alta y por encima de los 1200 mw/cm2 indicaría intensidad muy alta.

Se tomaron en cuenta las siguientes características:

Puntas con protección con y sin barrera de protección.
Puntas con protección con y sin barrera de protección.

Análisis estadístico

Se realizo estadística descriptiva para variables cuantitativas. Moda , media , medina.

Para observar diferencia entre grupos de estudio se realizó Se realizó ANOVA con post hoc de Tukey. Para la comparación entre los grupos se realizó prueba t de Student. La significancia estadística se consideró cuando p<0.05 El programa estadístico utilizado fue graphpad prism 8.0.1

Resultados

Grafica 1. Muestra el comportamiento de las tres diferentes lámparas de fotocurado sin barrera de protección encontrando diferencias en intensidad lumínica en las tres gamas de lámparas.
Grafica 1. Muestra el comportamiento de las tres diferentes lámparas de fotocurado sin barrera de protección encontrando diferencias en intensidad lumínica en las tres gamas de lámparas.
Grafica 2. Muestra la comparativa de intensidad lumínica de Gama Alta (Valo Ultradent) utilizando barrera de protección y sin ella mediante la prueba estadística t student, en la cual se observa diferencia estadística significativa entre ellas.
Grafica 2. Muestra la comparativa de intensidad lumínica de Gama Alta (Valo Ultradent) utilizando barrera de protección y sin ella mediante la prueba estadística t student, en la cual se observa diferencia estadística significativa entre ellas.
Grafica 3. Muestra la comparativa de intensidad lumínica de Gama Media (LUX I) utilizando barrera de protección y sin ella mediante la prueba estadística t student, en la cual se observa diferencia estadística significativa entre ellas.
Grafica 3. Muestra la comparativa de intensidad lumínica de Gama Media (LUX I) utilizando barrera de protección y sin ella mediante la prueba estadística t student, en la cual se observa diferencia estadística significativa entre ellas.
Grafica 4. Muestra la comparativa de intensidad lumínica de Gama Baja (Ali Express) utilizando barrera de protección y sin ella mediante la prueba estadística t student, en la cual se observa diferencia estadística significativa entre ellas.
Grafica 4. Muestra la comparativa de intensidad lumínica de Gama Baja (Ali Express) utilizando barrera de protección y sin ella mediante la prueba estadística t student, en la cual se observa diferencia estadística significativa entre ellas.

Resultados Descriptivos

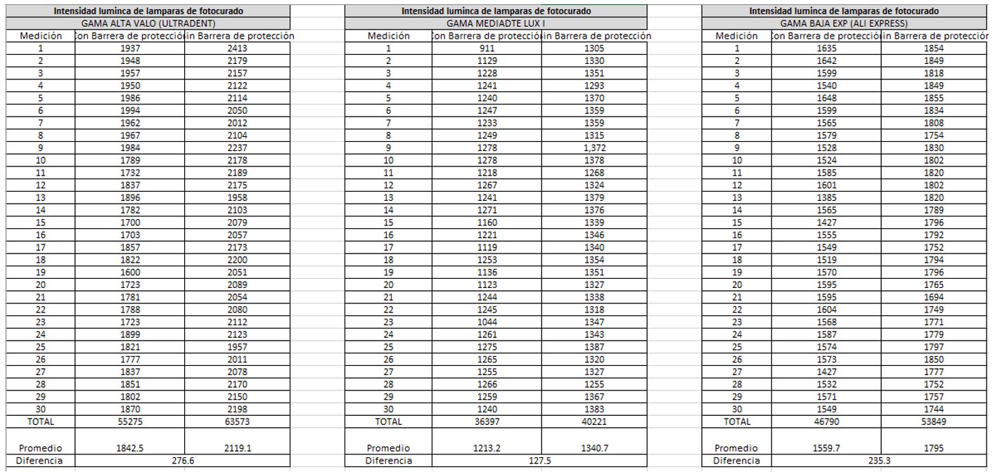
Tabla 1. Muestra el comportamiento de intensidad lumínica de tres gamas de lámparas de fotocurado encontrando diferencia estadística significativa en las tres diferentes lámparas.
Tabla 1. Muestra el comportamiento de intensidad lumínica de tres gamas de lámparas de fotocurado encontrando diferencia estadística significativa en las tres diferentes lámparas.

Discusión

El uso de materiales de restauración estéticos y polimerizables se ha vuelto más frecuente en el campo de la odontología. El rendimiento óptimo de estas restauraciones depende directa e indirectamente de la intensidad lumínica al polimerizar los materiales restauradores o de adhesión.

La resistencia de los materiales ante las fuerzas compresivas de la masticación puede indicar la integridad mecánica del material correctamente fotocurado. Por esta razón, es de suma importancia conocer la gama de la lámpara y medir su intensidad lumínica que nos garantice su funcionamiento óptimo.1

Las lámparas de fotocurado, pueden llegar a una intensidad lumínica muy alta que varía desde los 800 a más de 1200 mW/cm2. Además, los materiales fotopolimerizables mayores a 2 mm de espesor van a requerir intensidad lumínica mayor a 1,000 mW/cm2.3

Por lo tanto, la intensidad lumínica promedio, encontrada en las lámparas de tipo LED de 3 segundos de gama alta, media y baja, fue satisfactoria. Es necesario que la intensidad lumínica de la lámpara de fotocurado LED sea el doble a lo mínimo permitido por los materiales, debido a que la intensidad de la luz es inversamente proporcional al cuadrado de la distancia respecto al foco de luz y a la vez que permita generar un buen fotocurado a profundidad, precisamente porque el fracaso de la restauración, también se debe a un mal fotocurado del material restaurador.2

Al considerar la intensidad lumínica de las lámparas de fotocurado no se puede evaluar visualmente, siendo necesario el uso de un instrumento que pueda cuantificar esa intensidad. Por esta razón el uso de un radiómetro es ideal para medir cuantitativamente la intensidad de luz de la lámpara y poder determinar con precisión su valor en mW/cm.3-4

También tener en cuenta que la lámpara LED tiene una vida útil hasta de diez mil horas. El uso de las lámparas de fotocurado a través del tiempo disminuye y es imperceptible al ojo humano, de ahí la necesidad de medir la intensidad lumínica.5

Sin embargo, es necesario señalar la responsabilidad del operador para mantener la revisión periódica de las lámparas de fotocurado, contar con un radiómetro digital en le consultorio y asegurarnos de que la intensidad lumínica de la lámpara de fotocurado pueda otorgar una correcta fotopolimerización del material y por ende asegurar el éxito del tratamiento restaurador.4-5

Conclusión

  • Las mediciones realizadas en esta investigación revelaron satisfactoriamente que ninguna de las tres gamas de lámparas de fotocurado estuvieron por debajo de los 1200 mw/cm2
  • Los dispositivos de fotopolimerización modernos que utilizan luz LED, tienen una mayor intensidad de luz y una vida útil más larga que en lámparas de fotocurado que usaban luz alógena.
  • A medida que las unidades envejecen, pierden intensidad y deben revisarse periódicamente.

Referencias Bibliográficas

  1. A clinical survey of the output intensity of light curing units in dental offices across Nellore urban área. Madhusudhana, Koppolu; Swathi, Tavva Venkata; Suneelkumar, Chinni; Lavanya, Anumula. SRM Journal of Research in Dental Sciences 7(2):p 64-68, Apr–Jun 2016.
  2. AlShaafi MM. Efects of diferent infection control methods on the intensity output of LED light-curing units. King Saud University J Dent Sci 2013; 4.27-31.
  3. Intensidad lumínica de las lámparas de fotocurado LED en los consultorios odontológicos de Piura, Perú Crista Gadith Palacios Rivas, Dora Denisse Cruz Flores, Carmen Teresa Ibáñez Sevilla, Miguel Angel Ruiz Barrueto. Fri, 15 Apr 2022 in Revista Cubana de Estomatología.
  4. Journal of International Health. Evaluation of Light-Curing Units Used in Dental Clinics at a University in Malaysia. Lee, Yi Ren; Nik Abdul Ghani, Nik Rozainah; Karobari, Mohmed Isaqali; MásRevista de Salud Oral Internacional. 10(4):206-209, jul-agosto 2018.
  5. Journal of clinical and Experimental Dentistry Intensity output and effectiveness of light curing units in dental offices. Baharan-Ranjbar Omidi, Armin Gosili, Mona Jaber-Ansari, Ailin Mahdkhah. J Clin Exp Dent. 2018 Jun 1;10(6)
  6. Effect of contamination, damage and barriers on the light output of light-curing units. Abdullaq A. Suliman, Ahmad A. Abdo and Hussein A. Elmasmari.
  7. Unit of restaurative Dentistry, College of Dentristy, Ajman University, Ajman UAE.
  8. Armellin E, Bovesecchi G, Coppa P, Pasquantonio G, Cerroni L. LED curing lights and temperature changes in different tooth sites. Biomed Res Int. 2016:1-11. DOI: 10.1155/2016/1894672
  9. Scott B A, Felix C A, Price R B . Effect of disposable infection control barriers on light output from dental curing lights. J Can Dent Assoc 2004; 70: 105–110.
  10. Hodson N A, Dunne S M, Pankhurst C L . The effect of infection-control barriers on the light intensity of light-cure units and depth of cure of composite. Prim Dent Care 2005; 12: 61–67.
  11. Effect of infection control barriers on the light output from a multi-peak light curing unit Carlos José Soares 1, Stella Sueli Lourenço Braga 2, Maria Tereza Hordones Ribeiro 3, Richard Bengt Price 4 PMID: 33091553 PMCID: PMC7569381 DOI: 10.1016/j.jdent.2020.103503
  12. McAndrew R, Lynch CD, Pavil M, Bannon A, Milward P. The effect of disposable infection control barries and physical damage on the power output of light curing tips. Br Dent J 2011;210(8): E12.
  13. Shortall AC, Price RB, MackKenzie L, Burke FJ. Guidelines for the selection, use, and maintenance of LED light-curing units. PART I Br Dent J 2016;221 (9):551-4
  14. Barghi N, Berry T, Hatton C . Evaluating intensity output of curing lights in private dental offices. J Am Dent Assoc 1994; 125: 992–996.
  15. Effects of different infection control methods on the intensity output of LED Light-Curing Units January 2013 King Saud University Journal of Dental Sciences 4(1):27–31 DOI:10.1016/j.ksujds.2012.11.005
  16. Rueggeberg F, Giannini M, Galvao C, Precio R. Light curing in dentistry and clinical implications: a literature review. Braz. Oral Res. 2017;31(61):64-91. DOI: 10.1590/1807-3107bor-2017.vol31.0061.